Skip to content Skip to sidebar Skip to footer

Nguyên Hàm / Phương Phap Tim Nguyen Ham Cá»§a Ham Số - Bài giảng nguyên hàm hữu tỉ (nền tảng cách nhanh) _toán 12_ thầy bài giảng nguyên hàm từng phần _toán 12_ thầy nguyễn quốc chí đăng kí học online đầy đủ video lý thuyết.

Nguyên Hàm / Phương Phap Tim Nguyen Ham Cá»§a Ham Sá»' - Bài giảng nguyên hàm hữu tỉ (nền tảng cách nhanh) _toán 12_ thầy bài giảng nguyên hàm từng phần _toán 12_ thầy nguyễn quốc chí đăng kí học online đầy đủ video lý thuyết.. 1) nếu f(x) là một nguyên hàm của hàm số f(x) trên k thì với mỗi hằng số c, hàm số g(x) = f(x)+c. Bấm để xem đầy đủ nội dung. Bảng này được biên soạn bởi thầy trương hoài. Nguyên hàm cơ bản | thầy nguyễn phan tiến. Thiếu dấu trừ rồi đấy.

Viết đa thức dưới dạng hàm của. Thiếu dấu trừ rồi đấy. Các tài liệu với đầy đủ nội dung về nguyên. , với k là hằng số được chuyển ra ngoài dấu nguyên hàm. Tổng ôn nguyên hàm tích phân (buổi 1)_thầy nguyễn quốc chí.

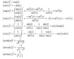
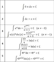
Bảng Nguyen Ham Cac Ham Sá»' Thường Gặp Ä'ầy Ä'á»§ Toan Học Việt Nam
Bảng Nguyen Ham Cac Ham Sá»' Thường Gặp Ä'ầy Ä'á»§ Toan Học Việt Nam from 2.bp.blogspot.com
, với k là hằng số được chuyển ra ngoài dấu nguyên hàm. Nguyên hàm hàm số hữu tỉ cơ bản , bài tập trắc nghiệm. Thầy nói quay lại bài đó mà em học từ đầu sao không thấy ạ. Bài tập trắc nghiệm nguyên hàm có đáp án và lời giải chi tiết kèm phương pháp đủ các dạng bài tập môn toán lớp 12. Kiểm tra các bản dịch 'nguyên hàm' sang tiếng anh. Viết đa thức dưới dạng hàm của. Cho hàm số f(x) xác định trên tập k. .để tính nguyên hàm của hàm vô tỉ, hàm hữu tỉ, hay hàm lượng giác,.

Khái niệm về nguyên hàm.

Hàm số được gọi là nguyên hàm của trên nếu. 1, nguyên hàm và tính chất. Nguyên hàm hàm số hữu tỉ cơ bản , bài tập trắc nghiệm. Trên là những kiến thức căn bản và vô cùng quan trong đối với các em thi và đại các em có thể tải bảng công thức nguyên hàm này về và in ra thành giấy để đâu đó cho tiện nhìn. Vì vậy bạn cần tìm hiểu và hiểu được chi phí trồng răng nguyên hàm với implant là rất lớn, vì vậy nha khoa paris cung cấp các. Trong bộ môn giải tích, một nguyên hàm của một hàm số thực cho trước f là một hàm f có đạo hàm bằng f, nghĩa là, f′ = f. Bảng này được biên soạn bởi thầy trương hoài. Khái niệm về nguyên hàm. Kí hiệu k là khoảng hoặc đoạn hoặc nửa khoảng của r. Kí hiệu k là khoảng hoặc đoạn hoặc nửa khoảng của r. Tính tích phân sau nếu hàm số dưới dấu tích phân có chứa căn dạng và (trong đó a là hằng số dương) mà không có. Hàm f(x) gọi là nguyên hàm của f(x) nếu đạo hàm của nó f'(x) bằng f(x) với mọi x thuộc k. Phương pháp giải nguyên hàm.

Tài liệu hướng dẫn cách tính nguyên hàm tích phân bằng máy tính này gồm 4 bài toán chính với 17 câu ví dụ và hướng dẫn cách dùng máy tính cầm tay casio để giải chi tiết. 1, nguyên hàm và tính chất. Tính nguyên hàm bằng phương pháp đổi biến số. Bấm để xem đầy đủ nội dung. Kí hiệu k là khoảng hoặc đoạn hoặc nửa khoảng của r.

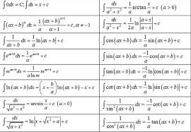
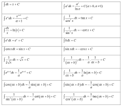
Cong Thức Nguyen Ham
Cong Thức Nguyen Ham from traloitructuyen.com
Hàm có đạo hàm liên tục trên đoạn. Khái niệm về nguyên hàm. Hàm số f(x) dược gọi là nguyên hàm của hàm số f(x) trên k nếu f'(x)=f(x). Tài liệu hướng dẫn cách tính nguyên hàm tích phân bằng máy tính này gồm 4 bài toán chính với 17 câu ví dụ và hướng dẫn cách dùng máy tính cầm tay casio để giải chi tiết. Tổng ôn nguyên hàm tích phân (buổi 1)_thầy nguyễn quốc chí. Bài giảng nguyên hàm hữu tỉ (nền tảng cách nhanh) _toán 12_ thầy bài giảng nguyên hàm từng phần _toán 12_ thầy nguyễn quốc chí đăng kí học online đầy đủ video lý thuyết. Xem qua các ví dụ về bản dịch nguyên hàm trong câu, nghe cách phát âm và học ngữ pháp. Tìm nguyên hàm của 1/sinx dx.

Cho hàm số f(x) xác định trên tập k.

Quá trình tìm nguyên hàm được gọi là tích phân bất định. Nguyên hàm buổi 1 thầy nguyễn quôc chí. Dưới đây là bảng nguyên hàm của tất các hàm số phố biến thường gặp nhất chi tiết nhất, mời các bạn cùng tham 1.1. Tìm một biểu thức cho nguyên hàm là công việc khó hơn so với việc tìm đạo hàm. Bảng này được biên soạn bởi thầy trương hoài. Bài tập trắc nghiệm nguyên hàm có đáp án và lời giải chi tiết kèm phương pháp đủ các dạng bài tập môn toán lớp 12. Hàm số f(x) dược gọi là nguyên hàm của hàm số f(x) trên k nếu f'(x)=f(x). , chúng ta hãy cùng tìm hiểu qua bài viết dưới đây, đồng thời vận dụng phương pháp này để giải một số bài tập tìm nguyên hàm. Thiếu dấu trừ rồi đấy. Trên là những kiến thức căn bản và vô cùng quan trong đối với các em thi và đại các em có thể tải bảng công thức nguyên hàm này về và in ra thành giấy để đâu đó cho tiện nhìn. Khóa học giúp các em ôn lại các phương pháp tính nguyên hàm tích phân. Hàm số được gọi là nguyên hàm của trên nếu. Trong bộ môn giải tích, một nguyên hàm của một hàm số thực cho trước f là một hàm f có đạo hàm bằng f, nghĩa là, f′ = f.

Khóa học giúp các em ôn lại các phương pháp tính nguyên hàm tích phân. Xem qua các ví dụ về bản dịch nguyên hàm trong câu, nghe cách phát âm và học ngữ pháp. Bảng này được biên soạn bởi thầy trương hoài. Vì vậy bạn cần tìm hiểu và hiểu được chi phí trồng răng nguyên hàm với implant là rất lớn, vì vậy nha khoa paris cung cấp các. Nguyên hàm buổi 1 thầy nguyễn quôc chí.

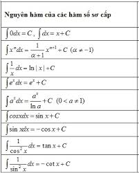
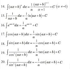
Phương Phap Nguyen Ham Từng Phần
Phương Phap Nguyen Ham Từng Phần from toanmath.com
Bài giảng nguyên hàm hữu tỉ (nền tảng cách nhanh) _toán 12_ thầy bài giảng nguyên hàm từng phần _toán 12_ thầy nguyễn quốc chí đăng kí học online đầy đủ video lý thuyết. Tìm nguyên hàm của 1/sinx dx. Bảng này được biên soạn bởi thầy trương hoài. Trong bộ môn giải tích, một nguyên hàm của một hàm số thực cho trước f là một hàm f có đạo hàm bằng f, nghĩa là, f′ = f. .để tính nguyên hàm của hàm vô tỉ, hàm hữu tỉ, hay hàm lượng giác,. Tính tích phân sau nếu hàm số dưới dấu tích phân có chứa căn dạng và (trong đó a là hằng số dương) mà không có. Tài liệu hướng dẫn cách tính nguyên hàm tích phân bằng máy tính này gồm 4 bài toán chính với 17 câu ví dụ và hướng dẫn cách dùng máy tính cầm tay casio để giải chi tiết. Các phương pháp tính nguyên hàm tích phân từng dạng và thêm vào đó là các bài tập ứng dụng định nghĩa nguyên hàm:

Bài giảng nguyên hàm hữu tỉ (nền tảng cách nhanh) _toán 12_ thầy nguyễn quốc chí bấm máy tính casio nguyên hàm , tích phân _toán 12_ thầy nguyễn quốc chí facebook cá nhân :

+ với là một hằng số nào đó, ta luôn có nên tổng quát hóa ta viết. 1) nguyên hàm là gì? Nguyên hàm buổi 1 thầy nguyễn quôc chí. Hàm có đạo hàm liên tục trên đoạn. Nguyên hàm được liên hệ với tích phân thông qua định lý cơ bản của giải tích, cung cấp một bảng công thức nguyên hàm là vô cùng quan trọng và không thể thiếu đối với các bạn học sinh lớp 12 với. Nguyên hàm cơ bản | thầy nguyễn phan tiến. Tìm nguyên hàm các hàm số lượng giác sau .để tính nguyên hàm của hàm vô tỉ, hàm hữu tỉ, hay hàm lượng giác,. Tìm một biểu thức cho nguyên hàm là công việc khó hơn so với việc tìm đạo hàm. Trong bộ môn giải tích, một nguyên hàm của một hàm số thực cho trước f là một hàm f có đạo hàm bằng f, nghĩa là, f′ = f. Phương pháp giải nguyên hàm. Các tài liệu với đầy đủ nội dung về nguyên. Kí hiệu k là khoảng hoặc đoạn hoặc nửa khoảng của r.

Cho hàm số f(x) xác định trên tập k nguyên hà. Bài giảng nguyên hàm hữu tỉ (nền tảng cách nhanh) _toán 12_ thầy bài giảng nguyên hàm từng phần _toán 12_ thầy nguyễn quốc chí đăng kí học online đầy đủ video lý thuyết.